• 网站首页
  • 公司概况
  • 产品展示
  • 方案设计
  • 新闻资讯
  • 联系我们
  • 电机事业部
  • 同步磁阻电机
  • 变频器
  • 混凝土振动棒
  • 其他电机零件
  • EMC事业部
  • 滤波器
  • 纳米晶磁芯
  • 磁粉芯
  • 电感&电抗
  • 镍锌铁氧体
  • 网站首页
  • 公司概况
  • 产品展示
  • 方案设计
  • 新闻资讯
  • 联系我们

电机事业部 | EMC事业部

  • 滤波器
  • 纳米晶磁芯
  • 磁粉芯
  • 电感&电抗
  • 镍锌铁氧体
  • 锰锌铁氧体磁芯

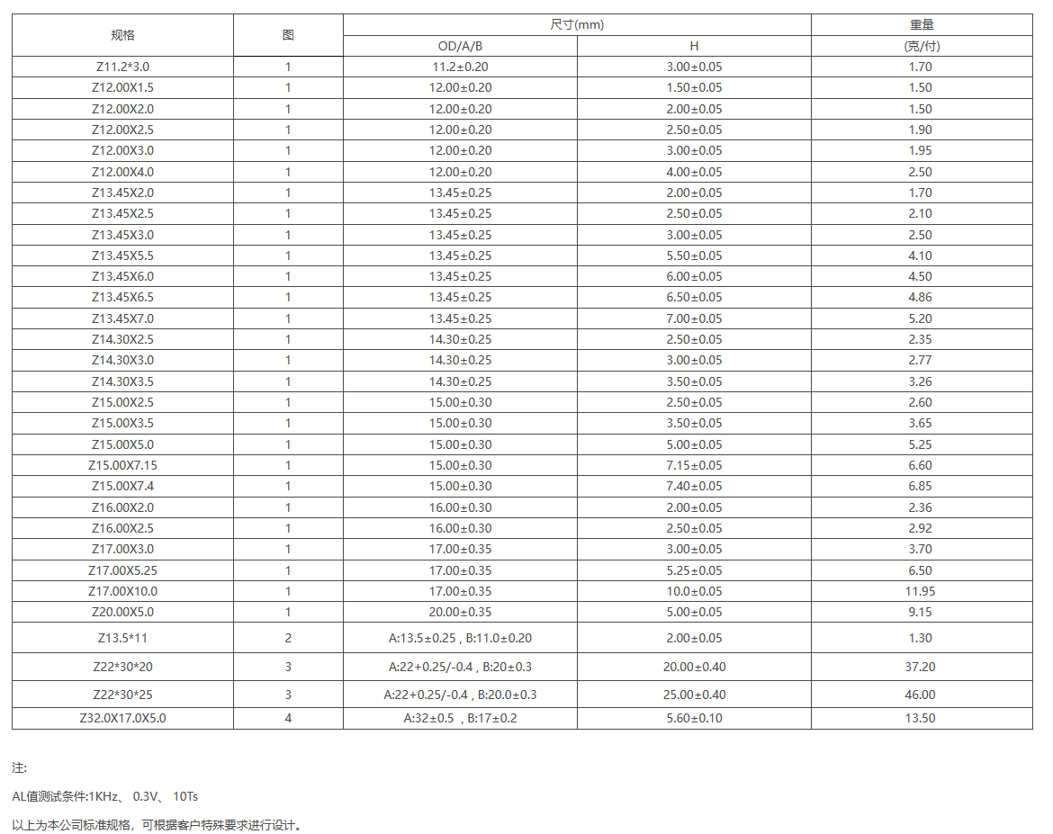
Z磁芯

快速导航

  • 网站首页
  • 公司概况
  • 产品展示
  • 方案设计
  • 新闻资讯
  • 联系我们

科磁电子科技(上海)有限公司

地址:上海市闵行区联航路1588号上计信息楼A座508-509室

电话:86-21-54320326

传真:86-21-54320325

邮箱:magtek@magteksh.com

关注我们

Copyright (C) 2024 All Rights Reserved. 科磁电子科技(上海)有限公司 技术支持:上海网站建设